Kumpulan Contoh Soal Integral Tak Tentu Dan Penyelesaiannya

Kumpulan Contoh Soal Integral Tak Tentu Dan Penyelesaiannya

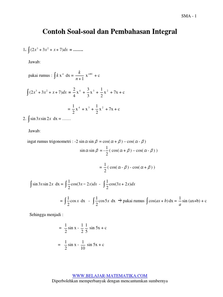
Kumpulan Contoh Soal Integral Tak Tentu Dan Penyelesaiannya. Contoh perhatikanlah turunan-turunan dalam fungsi aljabar. Download Now. saveSave Contoh-Contoh Soal Dan Pembahasan Integral Untuk S.

Rumus Integral Tentu dan Tak Tentu Beserta Pengertian dan ...
Rumus Integral Tentu dan Tak Tentu Beserta Pengertian dan ... (Jerry Summers)
Melepas udara merupakan operasi kebalikan (invers) dari menghirup udara. Dari bentuk integral di atas maka terlihat bahwa bentuk tersebut juga sulit ditentukan penyelesaiannya. Perbedaan antara integral tertentu dan integral tak tentu yaitu jika integral tertentu memiliki batasan-batasan ,integral tak tentu tidak memiliki Contoh Soal Integral Tentu.

Berikut ini merupakan soal dan pembahasan mengenai perhitungan integral tentu beserta penerapan sifat-sifat integral dasar.

Rumus-rumus integral tak tentu serta contoh soal dan penerapan integral tertentu dalam kegidupan sehari-hari Soal-soal Matematika SMA, SMP dan SD.

Contoh Soal Integral Tentu Dan Jawabannya - Berbagi Contoh ...

Contoh Soal Integral Tak Tentu Dan Penyelesaiannya Pdf

Integral Tak Tentu Dari Fungsi Trigonometri - Mata Pelajaran

Contoh Soal Integral Tentu Dan Penyelesaiannya - Contoh ...

Contoh Soal Integral tentu dan Penyelesaiannya ...

Contoh Soal Integral Tak Tentu Dan Penyelesaiannya

Pdf Contoh Soal Integral Lipat Daniel Arya Academia Edu

Kumpulan Matematika Integral Trigonometri & Integral Tak ...

Contoh Soal Integral Tak Tentu Dan Penyelesaiannya ...

Pada postingan ini kita membahas contoh soal torsi atau momen gaya dan penyelesaiannya atau pembahasannya. ← Contoh soal integral tak tentu dan penyelesaiannya. Mengetahui pengertian integral tentu, tak tentu, subtitusi, parsial dan trigonometri + penyelesaian. Integral tak tentu f(x) merupakan suatu fungsi umum yang ditentukan melalui hubungan.

Share:

Posting Lainnya:

Disqus Comments